海基會提醒台商及早因應調整春節疏運期間機位安排
- 更新日期:109-07-23
海峽交流基金會新聞稿
107年第001號新聞稿
時間:107年1月31日
聯絡電話:海基會綜合處梁小姐(21757124)、池先生(21757125)
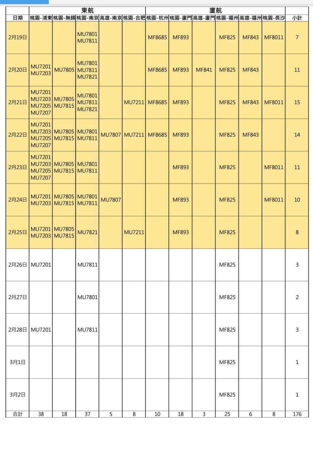
由於M503等相關航線攸關飛安、國安,在客觀事實未改變情況下,交通部民航局暫不核准東航(無錫、上海浦東、合肥、南京)及廈航(杭州、長沙、廈門、福州)等8航點共176班加班機的申請,東航及廈航已於30日上午宣布取消上述加班機申請。
為避免影響台商春節返鄉,海基會提醒在大陸台商、台幹及眷屬,要及早調整春節疏運期間機位安排。據了解,截至目前為止,其他航空公司定期航班與加班機仍有機位,請受影響的旅客及早改訂,或至受影響相關航點周邊城市搭機返台。政府會盡最大努力,讓所有鄉親返台過年。
以下因應方案,籲請大家及早因應調整安排:
一、儘快改訂其他航班返台:
受影響的8個航點(上海浦東、無錫、南京、合肥、廈門、福州、杭州、長沙),目前定期航班和已核准的加班機,都還有空位可供預訂。呼籲尚未訂位的民眾可向各國籍、陸籍航空公司洽詢。而原已預訂該176班加班機的旅客,建議儘速改訂其他航班或經核准的加班機。或改訂尖峰時期以外的航班。
二、注意航空公司增班訊息:
民航局已積極協調國籍航空公司,提出加班機申請或是加大機型,增加運量。據了解,華航已向民航局申請加開9個加班機航班,目前尚待陸方核准;長榮航空則安排若干航班擴大機型。民航局同時也鼓勵其他陸籍航空公司申請加班機,提高載客量。
三、改至周邊機場搭機返台:
若該176班加班機的8個航點,確實已訂無其他航班返台,可考量以兩小時車程內的周邊機場作為替代方案。
四、經香港、澳門中轉返台:
目前台港澳每日約有80個航班,可紓解相關的春節運量,民航局正與國籍航空協調港澳航班的增班可能性,國籍航空也表示會評估市場需求適時增班。
五、經由小三通途徑返台:
民航局正協調增加小三通船班以及離島回台的航班。國防部也會視情況需要,提供必要的接駁運量。
六、經平潭往返台北或台中客輪返台:
目前已知除了2月15日至2月16日外,每天都有船航行平潭至台北或台中,且2月13日將增開一班至台北(有750座),2日14日則視天候及需求決定是否有加班船。
海基會將持續盡最大努力溝通、協調,全力協助大陸台商、台幹及眷屬都能回家過年!如需進一步提供諮詢服務,請電洽海基會台商服務專線:02-25337995、緊急服務專線:02-25339995。
